与波像差和光学效率一样,偏振像差是光学系统的一种基本属性,其会对入射光的振幅、相位和偏振产生影响。在光刻成像、偏振测量、天文遥感等对成像质量或探测精度要求极高的领域,光学系统的偏振像差是重要误差源。然而,偏振像差由光学系统的结构参数与镀膜参数共同决定,其优化和抑制过程通常需要在多个关键性能指标如波像差与光学效率之间进行复杂权衡,存在约束条件多、调控变量有限等难题。
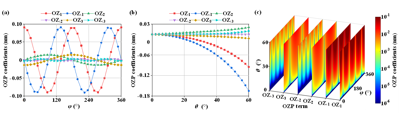
针对上述问题,研究团队提出了一种光学系统偏振像差补偿方法。作为无光焦度的光学元件,平面反射镜具备解耦波像差与偏振像差的天然优势。研究团队发现其在非平行光路中可生成一定空间分布的偏振像差,其空间分布特性主要由低频分量构成(图1),且这些分量的频率恰好与大多数光学系统偏振像差频率相匹配。针对上述关键发现,研究团队提出了基于平面镜的光学系统偏振像差补偿方法。

图1 方向Zernike系数与平面镜空间朝向的变化关系
在光学设计软件中对上述方法进行了验证。针对典型的离轴三反光学系统,通过增加平面反射镜并精确调整平面镜的位姿,成功将系统偏振像差降低至原来水平的1/15,全视场平均相位延迟从0.0759 rad显著降低至0.0050 rad(图2),而系统波像差和光学效率等关键性能指标基本不受影响。补偿前、后光学系统的偏振像差对比如图3所示。此外,还系统分析了平面反射镜的偏振像差补偿机制及其数量对补偿效果的影响。

图2 偏振补偿前后光学系统的结构和相应的相位延迟光瞳

图3 补偿前后光学系统的偏振像差对比(1-4块平面反射镜)
由于平面反射镜在光学系统中应用极其广泛且操作简便,所提出的方法对于优化控制高性能光学系统中的偏振像差具有重要价值,并且在实际工程应用中具有较大的应用潜力。相关结果以 “Method to compensate for polarization aberrations in optical systems based on plane mirrors”为题发表于Optics and Lasers in Engineering 202, 109767 (2026).全文链接:(https://www.sciencedirect.com/science/article/abs/pii/S0143816626001727)。论文通讯作者为中国科学院长春光机所空间三部罗敬副研究员,第一作者是博士研究生陈兴达。该工作得到了吉林省自然科学青年基金B类,国家自然科学基金,国家重点研发计划,中国科学院青年创新促进会和中国科学院战略先导项目(B 类)等的支持。